КОНТАКТЫ
 

На главную   -    Библиотека

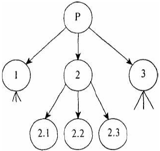
1. Линейный тип организационной структуры (рис. 1) включает:

– высший уровень руководства (руководитель, его заместители, члены администрации);

– основное подразделение, оказывающее услуги,

– обслуживающий персонал и руководители их работы.

Линейный тип организационной структуры характерен для небольших (малых и средних) предприятий сервиса: парикмахерских, ателье, мастерских по ремонту бытовых приборов, кафе или небольших столовых и др.

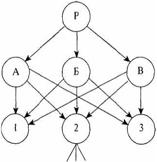
2. Функциональный тип организационной структуры

(рис. 2) приобретает более сложный характер в силу пересечения множества функциональных связей и отношений между отделами и группами сервисного предприятия.

При наличии функциональной структуры второй уровень организации принимает более разветвленный характер, в зону действия которого попадают подразделения, осуществляющие обслуживание потребителей.

Такая структура характерна для более крупных предприятий сервиса, которые располагают целым рядом подразделений сервисного производства, а также создают отделы, берущие на себя функции их внутреннего обслуживания: отдел приема заказов, рекламы и информации, планово-производственный отдел, отдел технического обслуживания, финансовый отдел и др. В рамках данной структуры обычно организована работа районных поликлиник, средних отелей, магазинов.

Линейный тип организационной структуры

Р – высший уровень руководства; 1, 3 – вспомогательные подразделения; 2 – основное подразделение и его подструктуры (2.1, 2.2 и 2.3) – вспомогательные подразделения; 2.1 – группа приема заказов; 2.2 – обслуживающие группы (бухгалтерия, отдел кадров, техническое обслуживание и др.); 2.3 – группы заготовителей (заготовка сырья, материалов, товаров и др.)

Рис. 1. Линейный тип организационной структуры

Функциональный тип организационной структуры

Р – высший уровень руководства; А – планово-экономический отдел, финансовый отдел; Б – технический отдел; В – информационно-рекламный отдел; 1, 2, 3 – основные подразделения, оказывающие услуги

Рис. 2. Функциональный тип организационной структуры

Линейно-функциональный тип организационной структуры

Р – высший уровень руководства; 1, 2, 3 – административно-руководящие и вспомогательные подразделения; А, Б, В – крупные сервисные единицы-подразделения

Рис. 3. Линейно-функциональный тип организационной структуры

Бригадный тип организационной структуры

Р – высший уровень руководства; I, II, III – административно-руководящие и вспомогательные подразделения, А, Б, В – крупные единицы-подразделения; 1, 2, 3 – специализированные бригады

Рис. 4. Бригадный тип организационной структуры

3. Линейно-функциональный тип организационной структуры (рис. 3) оказывается уместным в тех случаях, когда сервисное производство носит масштабный характер и состоит из крупных организационных единиц-подразделений. Будучи по целям деятельности подчиненным центральному руководству, каждое из таких подразделений снабжено совокупностью вспомогательных групп и обслуживающих отделов. Примерами такого организационного типа могут быть структуры крупных отелей (более 500 номеров), банков, больниц, вузов. К этому же можно добавить пример сервисной организации, имеющей свои филиалы на данной территории или на других территориях.

Страницы: